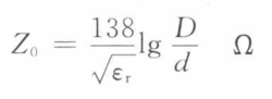
同轴电缆的特性阻抗是其重要的技术参数。同轴电缆根据其工作频带的差异,可分为两种基本类型:基带同轴电缆和宽带同轴电缆。目前基带同轴电缆的屏蔽线常用铜质网状结构,特性阻抗为50Ω(如RG-8、RG-58等);宽带同轴电缆常用的电缆屏蔽层通常是用铝冲压而成的,特性阻抗为75Ω(如RG-59等)。特性阻抗是指在无线电技术中,某特定信号经过双口网络时,网络两侧的阻抗特性。为了使电缆所传输的信号在整个频带内都能与负载阻抗相匹配,希望同轴电缆的特性阻抗为一纯电阻,以满足信号的不失真传输条件。在高频情况下,通过计算,忽略同轴电缆内分布电感和分布电容的影响,其特性阻抗可近似为一纯电阻,满足上面的条件,这时的特性阻抗仅与其内导体的芯线直径d和同轴电缆的屏蔽层的物理直径D以及绝缘介质的相对介电常数ε等参数有关,而与传输信号的频率无关。参照同轴电缆的结构,其特性阻抗理论计算公式为

式中,ε,为所填充绝缘介质的相对介电常数;D为屏蔽层的物理直径;d为芯线直径。
由式可以看出,同轴电缆的特性阻抗值取决于电缆内、外导体间的相互距离,距离越远则阻抗越大。实用的同轴电缆的特性阻抗常有50Ω、75Ω、100Ω三种,根据不同的工作环境选用。由于受制作工艺的限制,同轴电缆的特性阻抗与标称阻抗常有一定误差,在选用时应将特性阻抗作为一项技术标准,误差越小越好。
(慧朴科技,huiputech)
D-sub真空连接器真空母插头XF-D15-D32-PEEK(适配DB15标准插头)
2026-01-26
D-sub真空连接器真空母插头XF-D50-PEEK(适配DB50标准插头)
2026-01-23
D-sub真空连接器真空母插头XF-D37-PEEK(适配DB37标准插头)
2026-01-23
D-sub真空连接器真空母插头XF-D25-PEEK(适配DB25标准插头)
2026-01-23
联系人 : 王先生
手机 : 18588203671(微信同号)
Fax : 18588203671
Email : Martin@huiputech.com
Address : 深圳市龙岗区宝龙五路2号尚荣科技园F栋三楼